艾氟康唑中間體-1
時間:2020-02-26
瀏覽:1465次
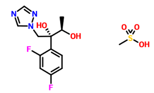
| 中文名稱 | (2R,3R)-2-(2,4-二氟苯基)-1-(1H-1,2,4-三唑-1-基)-2,3-丁二醇甲烷磺酸鹽 |
| 英文名稱 | 1-[(2R,3R)-2-(2,4-difluorophenyl)-2,3-dihydroxybutyl]-1H-[1,2,4]triazole methanesulfonate salt |
| 別名 | 1-[(2R,3R)-2-(2,4-difluorophenyl)-2,3-dihydroxybutyl]-1H-[1,2,4]triazole methanesulfonate salt |
| 備注 | |
| 分子式 | C13H17F2N3O5S |
| CAS號 | 1175536-50-1 |
| 結(jié)構(gòu)式 |
|
| 分子量 | 365.35300 |
| einecs | |
| 用途 |
