Efinaconazole Intermediate-1
time:2020-02-28
browse:945second
| CHINESE NAME | Ai Fu Kang Zuo Zhong Jian Ti |
| ENGLISH NAME | Efinaconazole Intermediate |
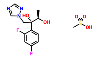
| ALIAS | 1-[(2R,3R)-2-(2,4-difluorophenyl)-2,3-dihydroxybutyl]-1H-[1,2,4]triazole methanesulfonate salt |
| REMARKS | |
| MOLECULAR FORMULA | C13H17F2N3O5S |
| CAS | 1175536-50-1 |
| STRUCTURAL FORMULA |
|
| MOLECULAR WEIGHT | 365.35300 |
| EINECS | |
| PURPOSE |
- Pre: Itopride
- Next: Efinaconazole
