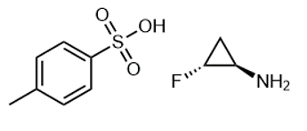
06Sitafloxacin Impurities-(1R,2R)-2-fluorocyclopropanamine 4-methylbenzenesulfonate
time:2020-02-28
browse:780second
| CHINESE NAME | Xi Ta Sha Xing Za Zhi |
| ENGLISH NAME | Sitafloxacin Impurities |
| ALIAS | (1R,2R)-2-fluorocyclopropanamine 4-methylbenzenesulfonate |
| REMARKS | |
| MOLECULAR FORMULA | C10H14FNO3S |
| CAS | |
| STRUCTURAL FORMULA |
|
| MOLECULAR WEIGHT | 247.28 |
| EINECS | |
| PURPOSE |
