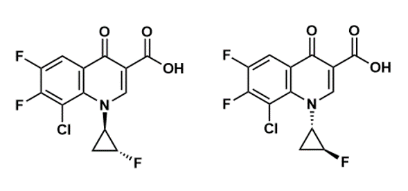
17Sitafloxacin Impurities-8-chloro-6,7-difluoro-1-((1R,2R)-2-fluorocyclopropyl)-4-oxo-1,4-dihydroquinoline-3-carboxylic acid and 8-chloro-6,7-difluoro-1-((1S,2S)-2-fluorocyclopropyl)-4-oxo-1,4-dihyd
time:2020-02-28
browse:881second
| CHINESE NAME | Xi Ta Sha Xing Za Zhi |
| ENGLISH NAME | Sitafloxacin Impurities |
| ALIAS | 8-chloro-6,7-difluoro-1-((1R,2R)-2-fluorocyclopropyl)-4-oxo-1,4-dihydroquinoline-3-carboxylic acid and 8-chloro-6,7-difluoro-1-((1S,2S)-2-fluorocyclopropyl)-4-oxo-1,4-dihydroquinoline-3-carboxylic acid |
| REMARKS | |
| MOLECULAR FORMULA | C13H7ClF3NO3 |
| CAS | |
| STRUCTURAL FORMULA |
|
| MOLECULAR WEIGHT | 317.65 |
| EINECS | |
| PURPOSE |
