03Ticagrelor Impurities-B-M01
time:2020-02-29
browse:798second
| CHINESE NAME | Ti Ge Rui Luo Za Zhi |
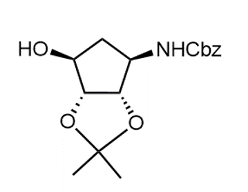
| ENGLISH NAME | Ticagrelor Impurities |
| ALIAS | benzyl ((3aS,4R,6S,6aR)-6-hydroxy-2,2- dimethyltetrahydro-4H-cyclopenta[d][1,3] dioxol-4-yl)carbamate |
| REMARKS | |
| MOLECULAR FORMULA | C16H21NO5 |
| CAS | |
| STRUCTURAL FORMULA |
|
| MOLECULAR WEIGHT | 307.35 |
| EINECS | |
| PURPOSE |
