04Ticagrelor Impurities-B-M03
time:2020-02-29
browse:791second
| CHINESE NAME | Ti Ge Rui Luo Za Zhi |
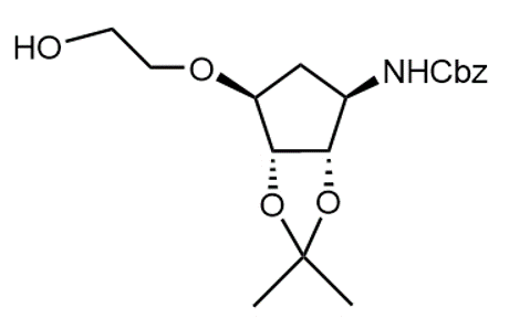
| ENGLISH NAME | Ticagrelor Impurities |
| ALIAS | benzyl ((3aS,4R,6S,6aR)-6- (2-hydroxyethoxy)-2,2-dimethyltetrahydro- 4H-cyclopenta[d][1,3]dioxol-4-yl)carbamate |
| REMARKS | |
| MOLECULAR FORMULA | C18H25NO6 |
| CAS | |
| STRUCTURAL FORMULA |
|
| MOLECULAR WEIGHT | 351.40 |
| EINECS | |
| PURPOSE |
