05Ticagrelor Impurities- isomer
time:2020-02-29
browse:845second
| CHINESE NAME | Ti Ge Rui Luo Za Zhi |
| ENGLISH NAME | Ticagrelor Impurities |
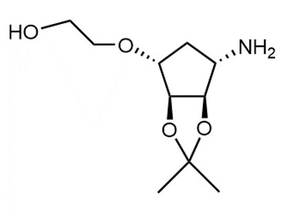
| ALIAS | 2-(((3aS,4R,6S,6aR)-6-amino-2,2-dimethyltetrahydro-4H-cyclopenta[d][1,3]dioxol-4-yl)oxy)ethan-1-ol |
| REMARKS | |
| MOLECULAR FORMULA | C10H19NO4 |
| CAS | |
| STRUCTURAL FORMULA |
|
| MOLECULAR WEIGHT | 217.27 |
| EINECS | |
| PURPOSE |
