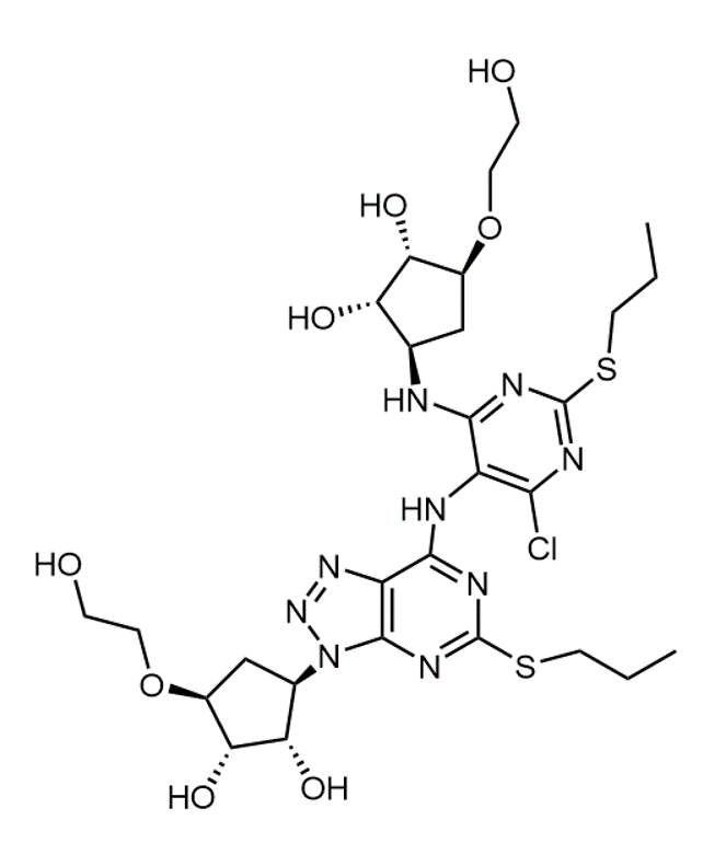
15Ticagrelor Impurities-(1S,2S,3R,5S)-3-((6-chloro-5-((3-((1R,2S,3S,4S)-2,3-dihydroxy
time:2020-02-29
browse:827second
| CHINESE NAME | Ti Ge Rui Luo Za Zhi |
| ENGLISH NAME | Ticagrelor Impurities |
| ALIAS | (1S,2S,3R,5S)-3-((6-chloro-5-((3-((1R,2S,3S,4S)-2,3-dihydroxy-4-(2-hydroxyethoxy)cyclopentyl)-5-(propylthio)-3H-[1,2,3]triazolo[4,5-d]pyrimidin-7-yl)amino)-2-(propylthio)pyrimidin-4-yl)amino)-5-(2-hydroxyethoxy)cyclopentane-1,2-diol |
| REMARKS | |
| MOLECULAR FORMULA | C28H42ClN9O8S2 |
| CAS | |
| STRUCTURAL FORMULA |
|
| MOLECULAR WEIGHT | 732.27 |
| EINECS | |
| PURPOSE |
